无人机分布式协同控制的研究不仅能解决实际应用中的诸多问题,还能推动相关科学技术的进步和发展,对军事、民用及科研领域具有重要的意义和应用价值。无人机控制输入常常受到幅值和速率的限制,如执行器饱和、外界环境要求等。这些限制给传统的无人机协同算法带来了巨大的挑战。
上海理工大学机器智能研究院团队针对多智能体系统输入幅值和速率约束的一致性控制及其在无人机协同控制进行了研究,相关成果已在国际控制领域知名期刊《IEEE Transactions on Automation Science and Engineering》上发表。
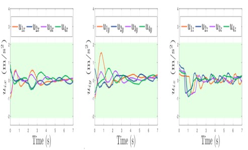
研究团队提出了一种集成速度阻尼和新型非线性饱和函数的分布式控制方法,在不违反输入幅值和速率限制的情况下,实现多智能体状态的一致性。基于CHINGMU(青瞳视觉)动捕系统亚毫米级定位及高精度捕捉的优势,帮助团队实现实时定位采集无人机的位姿、飞行轨迹等运动信息,为算法验证提供精确的数据参考,保障了实验的真实有效性。
编队实验场地大小:2米×2米。实验环境:CHINGMU(青瞳视觉)动作捕捉系统、四个Crazyflie 2.1无人机、一个搭载Linux操作系统的地面站。控制目标:使无人机形成边长1.1米的正方形编队。实验结果表明,无人机能够快速实现分布式协同,并且通过使用所提出的算法,无人机的运动轨迹更为平滑,超调更小。此外,针对该算法对干扰的鲁棒性进行了进一步验证。在无人机实现编队队形后,通过手动移动其中一个无人机的位置,使其偏离原本编队,但无人机仍能快速重新形成期望编队。


